度電成本(LCOE)是評價風電、光伏等新能源發電項目最重要的經濟指標之一,直接影響了項目的投資收益率。根據國內外的財務模型,度電成本的計算一般有以下兩種方式。
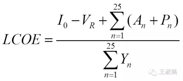
公式1:國內財務軟件常用的測算公式


上述公式中,將總投資(初始投資扣除殘值后和25年運營成本加和)除以總發電量,非常簡單明了、易于理解。因此,在國內的財務評價中被廣泛使用。但其缺點是沒有考慮資金的時間價值。
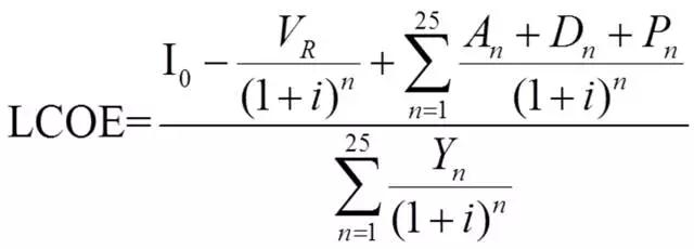
公式2:國際上常用的測算公式

陳榮榮、孫韻琳等人在《并網光伏發電項目的LCOE分析》中,介紹了國際上的測算度電成本的計算公式。
注:公式2中字母的定義與公式1相同。
在公式2中,充分考慮了資金的時間價值,用折現率i將不同時間的成本都折成現值;同時,也考慮不同時間的發電量會帶來不同的現金流,因此也對發電量進行折現。
上述兩個公式,無論哪種,是否考慮資金的時間價值,都有一個共同點,即度電成本主要是由下列三要素決定:
1)初始投資、2)經營成本、3)發電量
因此,降低初始投資成本、經營成本或提高總發電量,都有利于降低光伏發電的度電成本。
2、初始投資的影響因素
項目的初始投資的組成可以分為以下幾項。其中,設備費中,除了組件以外的其他項目投資被稱為BOS成本。

BOS成本中,有很多項目是與光伏項目的面積相關的,如下圖中的黃色部分。
相同數量的組件(面積相同),無論使用270W還是300W,支架、基礎、電纜等投資總量都是相同的,但顯然高效組件均攤的單瓦投資會明顯低于低效組件。
除了BOS成本以外,高效組件還可以降低土地成本(屋頂組件)。在不同的條件下,高效組件節省的BOS成本和土地成本是不相同的。
以270W光伏組件為基礎,不同效率組件的BOS成本降低水平,如下表所示。

以270W光伏組件為基礎,按照8%的折現率、20年租金計算,不同效率組件的屋頂租金降低水平,如下表所示。

可見,在合理的價格差異之下,當
(高效組件價格-低效組價價格)<BOS成本差值
高效PERC組件能夠降低光伏項目的初始投資。
3、PERC組件對于發電量的影響
(以下內容節選自亞化咨詢《PERC技術專刊》)
目前的高效組件以PERC組件為主,PERC組件基于以下兩大優勢可以實現多發電:
a)優秀的低輻照性能
b)更好的功率溫度系數
1、PERC電池優秀的低輻照性能
PERC電池具有更高的開路電壓和更優的紅外背反射性能。小于標準光強下的相對效率主要由開路電壓的變化來決定,常規電池的相對開路電壓低于PERC電池,且光強越弱,相對效率相差越多;而且PERC電池紅外波段的量子效率顯著提高,在1000nm以上紅外光的光電轉化率高。因此PERC組件在正常輻照下由于低輻照特性可以多發電,而在陰雨天以及早晚,相對常規組件的多發電優勢更加明顯。
2、更好的功率溫度系數
雖然PERC電池由于紅外波段量子效率高,其電流溫度系數略高;但PERC電池的開路電壓更高,其電壓溫度系數低。綜合來看,PERC電池的功率溫度系數低于常規電池。公開數據顯示,PERC組件的功率溫度系數為0.39%/?C,低于常規單晶組件的0.41%/?C。
PERC電池優秀的低輻照性能和更好的功率溫度系數帶來了每瓦組件更多的發電量。在《由實證基地數據分析哪種組件發電量高》中對PERC組件的這一特點進行了介紹。
案例1:中國電器科學研究院三亞實證基地
中國電器科學研究院國家重點實驗室研究披露了在三亞濕熱海洋氣候下,單晶PERC組件與多晶組件在戶外實證基地的電站發電情況。
三亞實證基地使用來自一線廠商的290W單晶PERC組件與265W多晶組件和270W多晶組件,搭配3kW逆變器,分別接入8塊晶硅組件,比發電量(單位安裝容量下的發電量)計算采用組件實測功率。

上圖為三亞實證基地2016年10月至2017年9月的發電情況。可以看出,使用了單晶PERC組件的系統每月日均比發電量始終高于多晶組件系統,每日增發電比例范圍約為2%~6%。從一年的運行數據來看,290W單晶PERC組件日平均比發電量相比265W多晶組件系統高出4.07%,相比270W多晶組件系統高出2.93%。
案例2:晶澳實證電站
2017年晶澳太陽能在公開演講中分享了單晶PERC組件在大型電站方面的發電表現,如下圖所示。晶澳太陽能在50MW大同領跑者項目中,分別使用了25MW單晶PERC295W組件與25MW常規多晶270W組件。從運行一年的數據來看,晶澳單晶PERC組件比常規多晶組件每千瓦平均多發電2.9%左右。

案例3:大同光伏“領跑者”基地
中國電力科學研究院于2016年在山西大同光伏“領跑者”基地內建設光伏電站實證監測平臺,對基地內所用所有類型光伏組件等運行性能開展現場長期實證監測,通過海量運行數據對光伏電站關鍵部件中長期運行性能開展評估工作。
該實證平臺組件測試區涉及13家電站31種光伏組件,部分運行數據如圖13所示。該組數據對比了265W常規單晶雙玻組件、280W常規單晶組件與280W單晶PERC組件的發電量。可以看出,280W單晶PERC組件發電量高出280W常規單晶組件和265W常規單晶雙玻組件。通過測算,280W單晶PERC組件比280W常規單晶組件發電量高5.3%。






